Skip to main content
Skip to main navigation menu
Skip to site footer
Open Menu
Psychological Research in Individuals with Exceptional Needs
Current
Submissions
Archives
Editorial Team
About
About the Journal
Article Processing Charges
Peer-Review Process
Ethical Principles
Privacy Statement
Contact
Crossmark Policy
Search
Register
Login
Home
/
Archives
/
Vol. 3 No. 2 (2025): Serial Number 10
Vol. 3 No. 2 (2025): Serial Number 10
Published:
2025-04-01
Articles
Investigating the Impact of Special Education Policies on the Psychological Well-Being of Exceptional Students
Beatriz Peixoto
; Mozhgan Arefi *
; Giselle Mata
1-8
PDF
https://doi.org/10.61838/kman.prien.3.2.1
Identifying Key Components of Identity Development in Adolescents with Sensory Impairments
Oriana Piskorz-Ryń
; Sabine Kraus *
9-16
PDF
https://doi.org/10.61838/kman.prien.3.2.2
Explaining the Emotional and Psychological Impact of Assistive Technologies on Adolescents with Visual Impairments
Nayelli Muñoz
; Bridget Abalorio *
17-25
PDF
https://doi.org/10.61838/kman.prien.3.2.3
Effectiveness of Exposure Therapy on Life Satisfaction and Cognitive Flexibility in Adults with ADHD
Sarah Turner
; Daniela Gottschlich *
26-34
PDF
https://doi.org/10.61838/kman.prien.3.2.4
Impact of Sandplay Therapy in Reducing Self-Handicapping Behaviors and Improving the Quality of Life in Children with Autism Spectrum Disorder (ASD)
Sabine Kraus *
35-43
PDF
https://doi.org/10.61838/kman.prien.3.2.5
Predicting Body Image Satisfaction in Adolescents with Physical Disabilities: The Role of Frustration Tolerance and Social Competence
Angel Lee
; Syarifah Maisarah *
44-51
PDF
https://doi.org/10.61838/kman.prien.3.2.6
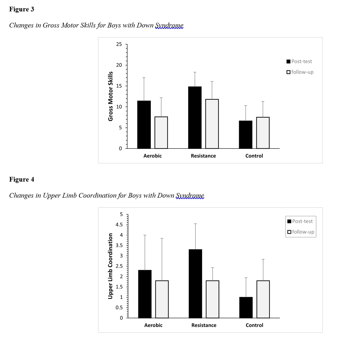
Detraining Effects on Body Mass Index and Motor Performance in Boys with Down Syndrome: A One-Year Follow-Up Study
Farnaz Torabi *
; Reza Khodarahmi
, Mahdiyeh Zamankhanpour
52-61
PDF
https://doi.org/10.61838/kman.prien.3.2.7
A Combined Parenting Model for Children’s Oppositional Defiance: A Qualitative Study
Fatemeh Khaghani
, Mohsen Golparvar *
, Zahra Yousefi
62-72
PDF
https://doi.org/10.61838/kman.prien.3.2.8
Comparison of the Effectiveness of Active and Passive Music Therapy on Echolalia and Pitch Frequency in Children with Level 1 Autism Spectrum Disorder
Fahimeh Ahmadizade
; Said Ali mohammad Mousavi *
; Narges Babakhani
73-84
PDF
https://doi.org/10.61838/kman.prien.3.2.9
Identification of Factors Influencing the Development of Sports for Children with Special Needs
Eskandar Ahmadi
; Mahdi Naderinasab *
; Seyed Sajjad Hossieni
, Mokhtar Nasiri Farsani
, Azam Abdollahpour
85-94
PDF
https://doi.org/10.61838/kman.prien.3.2.10
Make a Submission
Make a Submission
Contact
E-ISSN:
3060-6713
Editor-in-Chief:
Salar Faramarzi
Owner:
KMAN Research Institute
Publisher:
KMANPUB (KMAN Publishing Institute)
Contact mails:
prien@kmanpub.com
journalprien@gmail.com
Open access:
Yes
Peer-review:
Yes
Article Processing Charges:
150$
Information Table
Language
English
Journal Archive
In Press
Issue
Volume 4 (2026)
Issue 1
Volume 3 (2025)
Issue 4
Issue 3
Issue 2
Issue 1
Volume 2 (2024)
Issue 4
Issue 3
Issue 2
Issue 1
Volume 1 (2023)
Issue 4
Issue 3
Issue 2
Issue 1
Average time from submission until
Internal Review:
2-4 weeks
Review:
3-6 weeks
Final Decision:
4-6 weeks
Production:
2-4 weeks
Indexing & Abstracting
Latest publications
Browse
Categories
Developed By
Open Journal Systems
Keywords